Login
Today in 1944/1945
Coordinate translator
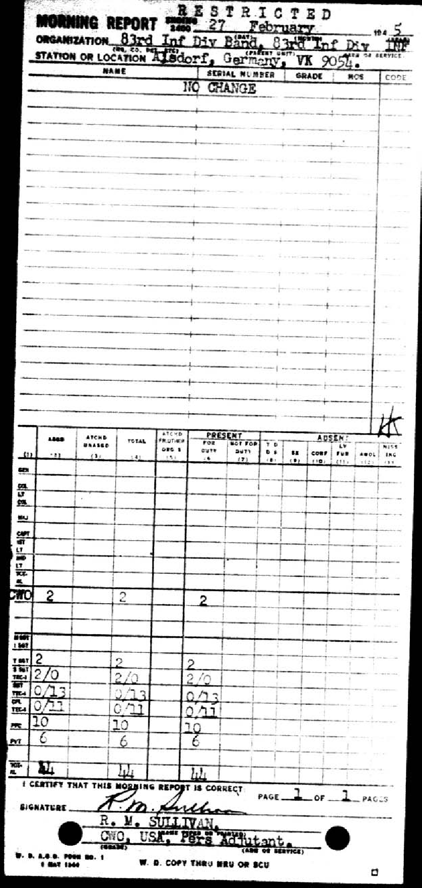
Morning report BAND/83 for February 27, 1945
Station:
Alsdorf, Germany,
vK9054
Show map